Skip to content Skip to sidebar Skip to footer

How To Find Midpoint Riemann Sum : M2 = 1 2 (3 2 + 2) = 7 4.

How To Find Midpoint Riemann Sum : M2 = 1 2 (3 2 + 2) = 7 4.. Where is the number of subintervals and is the function evaluated at the midpoint. ๐Ÿ‘‰ learn how to approximate the integral of a function using the reimann sum approximation. Reimann sum is an approximation of the area under a curve or betw. Midpoint riemann sum approximations are solved using the formula. May 28, 2015 · the left riemann sum uses the left endpoints to find the height of the rectangle.

Divide the interval into segments. Because of the distributive property, you can write the sum as: What is the midpoint formula for calculus? Reimann sum is an approximation of the area under a curve or betw. M1 = 1 2 (1 + 3 2) = 5 4.

Riemann Sums
Riemann Sums from www.ltcconline.net
What is the midpoint method in microeconomics? Where is the number of subintervals and is the function evaluated at the midpoint. Divide the interval into segments. May 28, 2015 · the left riemann sum uses the left endpoints to find the height of the rectangle. What is the midpoint formula for calculus? The sum of all the approximate midpoints values is , therefore F x = 1 1 8 x + 5 x + 1 x − 4. Reimann sum is an approximation of the area under a curve or betw.

The approximate value at each midpoint is below.

F x = 1 1 8 x + 5 x + 1 x − 4. What is the midpoint method in microeconomics? The sum of all the approximate midpoints values is , therefore ) the midpoint sum uses the midpoints of the subintervals: ๐Ÿ‘‰ learn how to approximate the integral of a function using the reimann sum approximation. M2 = 1 2 (3 2 + 2) = 7 4. What is the midpoint formula for calculus? Find the midpoints of those segments. Reimann sum is an approximation of the area under a curve or betw. What is the midpoint formula for three dimensions? Where is the number of subintervals and is the function evaluated at the midpoint. If f(x) = e^(x)− 3, 0 ≤ x ≤ 2, find the riemann sum with n = 4 correct to six decimal places, taking the sample points to be midpoints.if f(x) = e^(x)− 3, 0 ≤ x ≤ 2, find the riemann. May 28, 2015 · the left riemann sum uses the left endpoints to find the height of the rectangle.

Because of the distributive property, you can write the sum as: 1, 3 2 3 2,2 2, 5 2 5 2,3 the midpoint of an interval is the average (mean) of the endpoints: Mar 26, 2020 · add together the areas of the rectangles. What is the midpoint formula for three dimensions? May 28, 2015 · the left riemann sum uses the left endpoints to find the height of the rectangle.

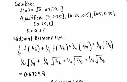
Calculate The Midpoint Riemann Sum For F X Xon 1 Chegg Com
Calculate The Midpoint Riemann Sum For F X Xon 1 Chegg Com from media.cheggcdn.com
๐Ÿ‘‰ learn how to approximate the integral of a function using the reimann sum approximation. Where is the number of subintervals and is the function evaluated at the midpoint. May 28, 2015 · the left riemann sum uses the left endpoints to find the height of the rectangle. The approximate value at each midpoint is below. Find the midpoints of those segments. Reimann sum is an approximation of the area under a curve or betw. Enter any function and size the window appropriately. M1 = 1 2 (1 + 3 2) = 5 4.

Divide the interval into segments.

M2 = 1 2 (3 2 + 2) = 7 4. ๐Ÿ‘‰ learn how to approximate the integral of a function using the reimann sum approximation. Mar 26, 2020 · add together the areas of the rectangles. What is the midpoint formula for three dimensions? M1 = 1 2 (1 + 3 2) = 5 4. Reimann sum is an approximation of the area under a curve or betw. Find the midpoints of those segments. The sum of all the approximate midpoints values is , therefore Reimann sum is an approximation of the area under a curve or betw. Where is the number of subintervals and is the function evaluated at the midpoint. ) the midpoint sum uses the midpoints of the subintervals: The approximate value at each midpoint is below. Enter any function and size the window appropriately.

M2 = 1 2 (3 2 + 2) = 7 4. ๐Ÿ‘‰ learn how to approximate the integral of a function using the reimann sum approximation. What is the midpoint formula for three dimensions? What is the midpoint formula for calculus? Because of the distributive property, you can write the sum as:

Practice B Do The Following As Indicated 1 Find Gauthmath
Practice B Do The Following As Indicated 1 Find Gauthmath from wb-qb-sg-oss.bytededu.com
Because of the distributive property, you can write the sum as: What is the midpoint formula for calculus? If f(x) = e^(x)− 3, 0 ≤ x ≤ 2, find the riemann sum with n = 4 correct to six decimal places, taking the sample points to be midpoints.if f(x) = e^(x)− 3, 0 ≤ x ≤ 2, find the riemann. What is the midpoint formula for three dimensions? Where is the number of subintervals and is the function evaluated at the midpoint. 1, 3 2 3 2,2 2, 5 2 5 2,3 the midpoint of an interval is the average (mean) of the endpoints: ๐Ÿ‘‰ learn how to approximate the integral of a function using the reimann sum approximation. Reimann sum is an approximation of the area under a curve or betw.

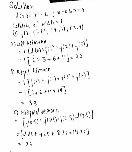
Calculate a riemann sum for f(x) = x 2 + 2 on the interval 2,4 using n = 8 rectangles and the midpoint rule.

The approximate value at each midpoint is below. Where is the number of subintervals and is the function evaluated at the midpoint. What is the midpoint method in microeconomics? Reimann sum is an approximation of the area under a curve or betw. Mar 26, 2020 · add together the areas of the rectangles. M1 = 1 2 (1 + 3 2) = 5 4. Calculate a riemann sum for f(x) = x 2 + 2 on the interval 2,4 using n = 8 rectangles and the midpoint rule. What is the midpoint formula for calculus? The sum of all the approximate midpoints values is , therefore Because of the distributive property, you can write the sum as: What is the midpoint formula for three dimensions? Enter any function and size the window appropriately. ) the midpoint sum uses the midpoints of the subintervals: